平衡蒸餾
平衡蒸餾是指使混合液體部分汽化、并使汽液兩相處于平衡狀態,然后將汽液兩相分開的過程,簡單流程如圖1所示。組成為xF、進料流量為F的混合液體溶液被送入到平衡蒸餾器前的預熱器1進行預熱,預熱后的物流經過減壓閥2進入到平衡蒸餾器3中,在蒸餾器中部分液體由于減壓而汽化并形成汽液兩相平衡,流量為D、組成為y的汽相從蒸餾器頂部引出,而流量為W、組成為x的液相從蒸餾器底部引出,從而完成混合液的一次分離。在平衡蒸餾過程中,液體混合物在預熱器中吸熱,而經減壓閥后則為絕熱過程(忽略熱量損失),液體部分汽化通過物流自身降溫實現。如在相圖中表示,其僅為一個平衡級,如簡單蒸餾中的a線、或b線、或c線。

圖1 平衡蒸餾基本流程
平衡蒸餾過程的計算包括三個部分,即物料衡算、熱量衡算和相平衡計算,具體計算過程如下所述(各參數意義如圖1中所示)。
(1)物料衡算
對總物料:
F = D + W
對易揮發組分:
結合上兩式可得:
FxF = Dy + (F-D)x
即:
進一步假設:
W/F = q
則:
D/F = 1-q
將上兩式帶入式(a)可得:

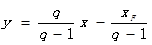
該方程描述了汽液相平衡組成達到平衡時的關系,該方程被稱為進料方程,在精餾操作的計算中至關重要。在x-y圖上 ,該方程表示通過點(xF ,xF)且斜率為q/(q-1)的直線。
(2)熱量衡算
對加熱器做熱量衡算,并忽略加熱器的熱損失,則得:
Q = FCp(T-Tf)
式中Q為加熱器提供的熱量,T為加熱后的溫度,而tf為進料溫度。
原料液節流減壓后進入蒸餾器,由于物料是通過自身的降溫來使部分液體汽化,即物料放出的顯熱等于部分氣化所需的潛熱,所以有如下等式:
FCp(T-Te) = (1-q)Fr
式中r為液體在平衡溫度te時的汽化焓。從此式可獲得原料液離開加熱器的溫度:

(3)汽液平衡關系
要求得汽液平衡時的分離效果,即平衡分離后的汽液相組成,必須結合相平衡關系,汽液相平衡公式如下:

平衡溫度與液相組成關系為:
te = f(x)
結合以上三個方面即可完成平衡蒸餾的計算,求得分離后的汽液相組成、熱負荷等等。
以上對平衡蒸餾的計算過程也可以通過相圖表示,如下圖(圖2)所示。該圖為x-y相圖,首先畫出平衡方程線,如果知識液化率或汽化率,可在圖中畫出進料方程線,它們的交點即為平衡汽液相組成,通過該點引x軸的垂線,與沸點線()相交,即可得到平衡溫度,再結合相關公式可完成熱負荷的計算。

圖 2 平衡蒸餾相圖表示計算過程